Боты атакуют. Кто накручивает зрителей на Twitch.tv, часть 2
Добрый день! Перед прочтением этого блога рекомендую ознакомиться с первой частью.
В этом дополнении к первому блогу я расскажу о проделанной работе.
Моя просьба в конце предыдущего блога была услышана, огромное спасибо пользователю с ником Somehow! Он сделал программу, которая собирает нужную статистику. Если вы хотите заполучить ее себе, то напишите ему, я думаю, он с радостью с вами поделится. Пользователь с ником Shenaar готов написать сайт (за что ему тоже большое спасибо), на котором можно будет по стриму получить всю интересующую информацию, а также узнать, накручивает ли стример или нет. Только нужен хостинг. Если кто-то готов предоставить, напишите мне, пожалуйста.
Но давайте перейдем к интересному. Начнем с приятного: канал gaben_007 был забанен. Я не знаю, связано ли это с моим прошлым блогом, но мне приятно думать, что связано.
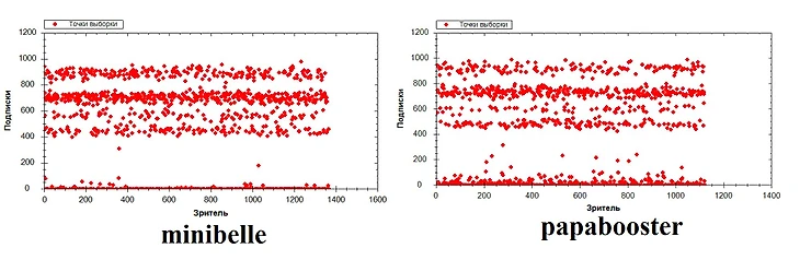
Теперь перейдем, собственно, к данным, которые удалось собрать. Напомню, что мы изображаем на графике. Каждая точка – это залогиненный зритель, координата по вертикальной оси – это количество подписок. В прошлом блоге я отмечал, что если много зрителей с 400+ подписками, то стример накручивает. Итак, знакомьтесь, стримы нормального человека:

Видно, что у хороших стримеров основная часть зрителей сконцентрирована в интервале от 0 до 100 подписок. А теперь стримы курильщика:

Я думаю, комментарии излишни. Четко видны подозрительные полосы. И так у всех, у кого доля залогиненных зрителей находится в районе 0.3. Не буду выкладывать все картинки, поверьте мне на слово.
Удалось найти и кое-что интересное:

У Карины наступили сложные времена. Возможно, и в топ она ворвалась не без чьей-то помощи? Пока я писал этот блог, канал Карины был забанен. Вилат в твиттере написал, что это произошло из-за накрутки зрителей. Ура, товарищи!
А вот график Картмана. Он не накручивает.

Некоторые стримеры практически не скрывают того, что накрутили зрителей. Например, пользователь внезапно врывается в топ с 5000 зрителями.

Я его заметил только на четвертый день своего сидения на Twitch.tv, хотя, как видно из его паблика в контакте, он стримил и в предыдущие дни. Странно, учитывая, что я обращал внимание на всех, у кого не меньше 1000 зрителей. Разгадка тут проста:

А в его группе за несколько дней до этого появились такие записи (сейчас одна из них оттуда благоразумно удалена):

Несложно понять, о каких «идеях» идет речь. Я залез в записи его стримов и посмотрел начало того дня, когда эти «идеи» воплотились в жизнь. Вы только посмотрите, как спокойно он реагирует на сильное увеличение своей аудитории:
Кто-то из его зрителей удивился, что раньше смотрело человек по 5, а тут через 15 минут после начала стрима смотрит уже 800. А у стримера никакого удивления. По-моему, все сказанное выше доказывает накрутку чуть более, чем полностью. Надеюсь, его постигнет участь gaben_007 и Карины.
Вообще масштабы накрутки впечатляют. Наступает ночь, мирные жители засыпают и просыпается мафия. 14 из 15 топовых стримов – это накрутка!

Хочется услышать комментарий кого-нибудь, связанного с twitch.tv. Например, модераторов. Почему они не банят этих людей? Чем они лучше Карины и gaben_007? Хочется надеяться, что все еще впереди. Чтобы облегчить модераторам задачу нахождения нечестных каналов, публикую обновленные списки:

На этом я прекращаю (по крайней мере на месяц) следить за накруткой на twitch.tv. Если сами twitch.tv захотят бороться с накрутками, то у них это получится и без моей помощи. А если не захотят, то тем более нет смысла заниматься этой деятельностью. Если кто-то готов взяться, то хотелось бы составить подобные списки по другим игровым дисциплинам. Интересно было бы узнать, насколько в них все плохо. На этом все, спасибо за внимание!




























1) Играют дерьмово.
2) Никакой пользы для себя в плане обучения доте, я от них не получу.
есть и интересная стата по ходу пьесы... в общем - пишите, если будут идеи ;)
Вообще если на человека нельзя подписаться за 5 бачей, то он скорей всего накручивает (при условии 1+к зрилов), так что это изи чекать.